îѰ׷ÛÊǵ±½ñ½ÏºÃµÄ°×É«ÑÕÁÏ£¬¾ßÓÐÓÅÒìµÄ°×¶È¡¢×ÅÉ«ÄÜÁ¦ºÍ½ÏÇ¿µÄÕÚÑÚÁ¦£¬Æä»¯Ñ§ÐÔ×ÓÎȹ̡¢ÄÍÈÈÐÔ¼°ÄͺòÐÔÓÅÒì¡¢ÓÐ×Å×î¼ÑµÄ²»Í¸Ã÷ÐÔ¡£ËüÔÚËùÓеİ×É«ÑÕÁÏÖÐÕ¼ÓÐÁË80%µÄ·Ý¶î£¬ÔÚÍ¿ÁÏ¡¢ËÜÁÏ¡¢ÔìÖ½Ó¡Ë¢ÓÍÄ«¡¢Ï𽺵ÈÐÐÒµÖлñµÃÁËÓ¦Óã¬ÆäÖÕ¶ËÓ¦ÓÃÓÚ·¿µØ²ú¡¢Æû³µ¹¤Òµ¡¢×°ÊÎÖ½µÈÁìÓò¡£ÓÉÓÚîѰ׷ÛÔÚÐí¶à·½Ãæ¶¼Óë¹ú¼ÒµÄ¾¼ÃÓÐ×ÅÇ×½üÏà¹Ø£¬±»³ÆÎª¡°¾¼ÃÉú³¤µÄÇçÓê±í¡±¡£Ëæ×ſƼ¼µÄÉú³¤£¬îѰ׷۵ÄÏûºÄÖð½¥ÍØÕ¹µ½ÐÂÄÜÔ´¡¢¸ß¶Ë×°±¸¡¢»·±£¡¢Ò½ÓõÈÁìÓò¡£½üÄêÀ´£¬º£ÄÚîѰ׷۵IJúÄÜÖðÄêÌáÉý£¬ÏÖÔÚÈ«ÇòîѰ׷ÛÄê²úÄÜÄִܵï822.3Íò¶Ö£¬º£ÄÚ²úÄÜ´ï378Íò¶ÖÕ¼±ÈÈ«Çò×ÜÁ¿µÄ47%¡£
ÏÖÔÚÄÜʵÏÖîѰ׷۵Ĺ¤Òµ»¯Éú²úµÄÖ÷ÒªÓÐÁ½ÖÖÒªÁ죬»®·ÖÊÇÁòËá·¨ºÍÂÈ»¯·¨¡£ÔÚÁòËá·¨Éú²ú¹¤ÒÕÖУ¬ÓÉÓÚË®½â²úÆ·Æ«îÑËáÖк¬Óдó×ڵķÇîÑ¿ÉÈÜÐÔÔÓÖʺÍÓÎÀëÁòËᣬ¶øÔÓÖʺ¬Á¿µÄÆéá«Ö±½ÓÓ°Ïìµ½¶þÑõ»¯îѲúÆ·µÄÉ«Ï࣬Òò´ËÆ«îÑËáµÄˮϴ¹¤ÐòÊÇÁòËá·¨îѰ׷ÛÉú²úÖеÄÖ÷Òª¹¤ÐòÖ®Ò»¡£
97¹ú¼Ê×ÔÖ÷Ñз¢µÄÉÕ½á¹ÜʽĤÒÑÓ¦ÓÃÓÚîѰ×ÐÐÒµ·ÛÌåÏ´µÓ¼°½ÓÄÉ£¬ÄÚÃÉijîÑ°×ÆóÒµ°å¿ò©ÁϽÓÄÉîѰ׷ۣ¬½ÓÄÉÁÏÿÄê²úÖµ½üÍòÍò£¬ËÄ´¨Ä³îÑ°×ÆóÒµîѰ׷ÛÏ´µÓTDS´Ó12Íò½µµÍÖÁ30ppm£¬Îª¿Í»§´ó´ó½ÚÔ¼ÁËË®Á¿¡£
97¹ú¼ÊÉÕ½á¹ÜʽĤ²úÆ·ÒÔPEÉÕ½á¹ÜΪ֧³Ö¹Ç¼Ü£¬ÔÚÆäÄÚ²¿Ê¹ÓÃÌØÊ⹤ÒÕʹPVDFĤÌî³äµ½Ö§³Ö¹Ç¼ÜµÄ¿×ÖÐÐγÉÏâǶʽ½á¹¹£¬Ê¹Ä¤²ãÎȹ̵ظ½ÓڹǼÜÉÏ£¬¾ßÓÐÓÅÁ¼µÄ¹ýÂËÐÔÄÜ¡¢×ã¹»µÄ»úеǿ¶È¡¢ÓÅÒìµÄÄÍ»¯Ñ§ºÍÄÍÎÂÐÔÄÜ£¬Í¬Ê±Ç¶ÈëʽµÄPVDFĤ²ã¿ÉÒÔ°ü¹ÜÔÚ·´Ï´Àú³ÌÖв»»á±¬·¢Ä¤°þÀ룬ÇÒ¸üÄÍ·ÛÌå¿ÅÁ£µÄºã¾Ã³åÏ´£¬Ê¹ÓüòÆÓÇÒÊÙÃü³¤£¬½ÚԼʹÓñ¾Ç®¡£


£¨ÏîÄ¿ÏÖ³¡×ÊÁÏͼƬ£©
¹Å°åÁòËá·¨îѰ׷Ûˮϴ¹¤ÐòÖÐÓ¦ÓýÏÁ¿ÆÕ±éµÄÊǸôĤѹÂË»úºÍÕæ¿ÕÒ¶ÂË»ú¡£ÆäÖУ¬¸ôĤѹÂË»úÊôÓÚÕýѹ²Ù×÷£¬µ«Æ«îÑËá·ÛÌåÁ÷ʧÎÊÌâÑÏÖØ£¬²¢ÇÒÌæ»»Â˲¼Ò²½ÏÁ¿Æ¶À§¡£Õæ¿ÕÒ¶ÂË»úÏ´µÓË®ºÄÏà¶ÔÆ«¸ß£¬ÔËÐÐÀú³ÌÖо³£·ºÆðÎüƬÄÑÌâµÄÎÊÌ⣬¶ÔË®½âÁϵÄÖÊÁ¿ºÍ¹¤ÒÕ²ÎÊýµÄÉèÖÃÒªÇó½Ï¸ß¡£
97¹ú¼ÊÉÕ½á¹ÜʽĤϴµÓÊÖÒÕÖð½¥È¡´ú¹Å°åÏ´µÓ¹¤ÒÕ£¬¹¤ÒÕÖ÷Òª°üÀ¨·ÛÌå½ÓÄÉϵͳ¡¢Ä¤Ï´µÓϵͳºÍĤÊèɢϵͳÈý²¿·Ö£¬È«ÏµÍ³Ö»ÐèÒªÒýÈëÉÙÁ¿ÍÑÑÎˮά³Öˮƽºâ£¬Æ«îÑËὬÁÏÔÚˮϴÀú³ÌÖÐÎÞ·ÛÌåÁ÷ʧ£¬ËùÓÐת»¯Îª¹Ìº¬Á¿Îª300 g/LµÄÏ´µÓ¼°¸ñÁÏ£¬Í¬Ê±ÏµÍ³ÎÞ·ÏË®ÍâÅÅ£¬Òý³öµÄÇå½à·ÏËáÒ²¸üÀû±ã¾ÙÐÐÉî´¦Öóͷ£¼Ó¹¤¡£Í¨ÊºóÐø´¦Öóͷ£×°ÖöÔÏ´Ë®´¦Öóͷ£ºóÑ»·Ê¹Ó㬻¹¿ÉÒÔ´ó×Ú½ÚÔ¼ÍÑÑÎË®µÄÏûºÄ¡£

£¨Ë®Ï´¹¤ÐòĤ´¦Öóͷ£¹¤ÒÕʾÒâͼ£©
97¹ú¼ÊÉÕ½á¹ÜʽĤµÄ¹ýÂË·½·¨Îª¡°´íÁ÷¹ýÂË¡±£¬ÔÚÒ»¶¨Ñ¹Á¦Çý¶¯Ï£¬Æ«îÑËὬÁÏÔÚĤ¹ÜÄÚÍâòÁ÷¶¯£¬Ë®ÈÜÐÔµÄÔÓÖÊÀë×ÓÅãͬÁòËáºÍË®ÑØ×ÅĤ¹Ü±ÚÇÐÏߵıÊֱƫÏòÉøÍ¸¹ÜÍ⣬ƫîÑËá¹ÌÌå±»×èµ²ÏÂÀ´ÔÚĤ¹ÜÄÚ×öÑ»·Ô˶¯£¬Í¨¹ýÒ»Ö±ÒýÈëÐÂÏÊË®ºÍ²É³öÏ´µÓË®£¬µÖ´ïÈ¥³ýÆ«îÑËáÖпÉÈÜÐÔÔÓÖÊÀë×ÓµÄÄ¿µÄ¡£Óë¹Å°å¹¤ÒÕÏà±È£¬ÉÕ½á¹ÜʽĤ¾ßÓиü¸ßµÄ´¦Öóͷ£ÄÜÁ¦ºÍ´¦Öóͷ£Ð§ÂÊ£¬´ó´ó½ÚÔ¼ÁËË®Á¿¼°´¦Öóͷ£Ê±¼ä¡£

£¨¹ÜʽĤ¹ýÂËÔÀí£©
ÏÂͼΪ97¹ú¼ÊÉÕ½á¹ÜʽĤµç¾µÕÕÆ¬£¬³ÅÌå¿ÅÁ£¸ßÓÚÊèÉ¢²ãÍâò£¬¿É±ÜÃâ´ó¿ÅÁ£ÔÓÖÊÁ÷¹ýʱ¹ÎÉËĤ²ã£¬¶ÔĤ²ãÆðµ½ÁËÒ»¶¨µÄ±£»¤×÷Ó᣶ÏÃæÍøÂç¿×½á¹¹Í¨´ï£¬¾ßÓиßͨÁ¿¸ß¿×϶ÂʵÄÌØµã£¬¿×½á¹¹ÀÎÀθ½×ÅÓÚPE¹Ç¼ÜÉÏ£¬¿ÉÄÍÊÜ1~2barѹÁ¦µÄ·´Ï´¡£
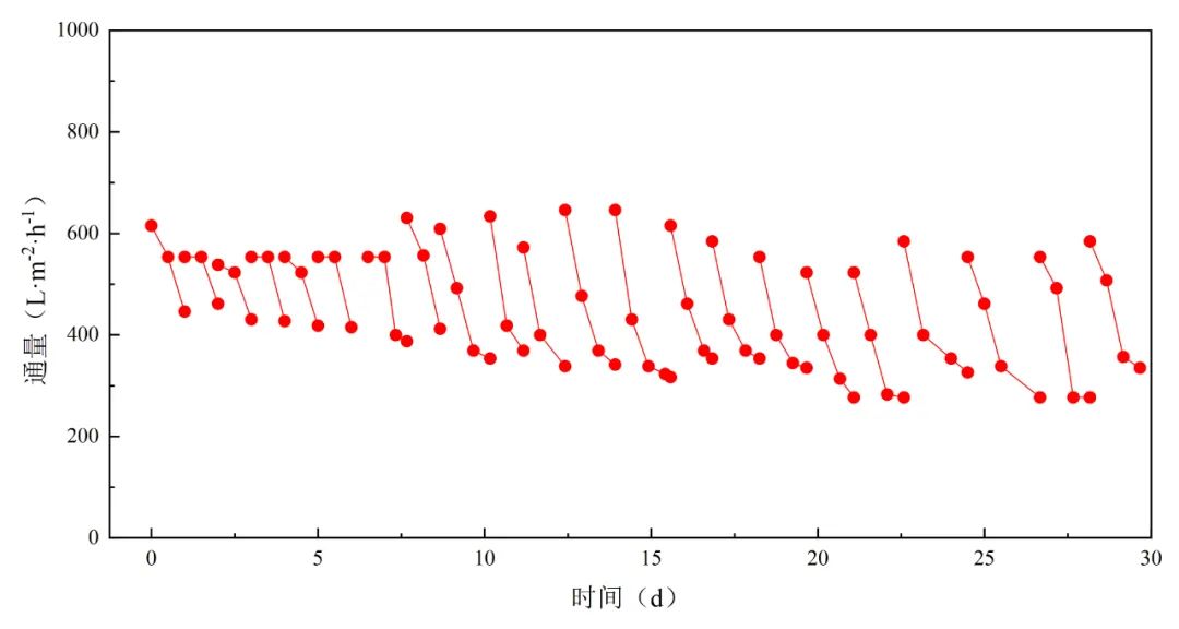
ÏÂͼΪ97¹ú¼ÊÉÕ½á¹ÜʽĤ¾ÙÐÐîѰ׷ÛÏ´µÓµÄ±ÈÕÕʵÑé¼°²¿·ÖÏÖ³¡Êý¾Ý¡£


97¹ú¼ÊÉÕ½á¹ÜʽĤÔÚîѰ×ÐÐÒµµÄÆÕ±éÓ¦Óã¬ÌáÉýÁ˲úÏßÉú²úЧÂÊ£¬ÓÅ»¯ÁËÉú²úÁ÷³Ì£¬½ÚԼˮ×ÊÔ´£¬¸üΪÆóÒµ´øÀ´Á˿ɹ۵ľ¼ÃÐ§Òæ£¬´ó´ó½µµÍÁËÆóÒµµÄÔËÓª±¾Ç®¡£ÎÒÃÇÏàÐÅ£¬ÔÚδÀ´£¬97¹ú¼Ê½«¼ÌÐøÖÂÁ¦ÓÚĤÊÖÒÕÁ¢Òì£¬Ò»Ö±ÍÆ¶¯¹ÜʽĤÔÚîѰ×ÐÐÒµµÄÓ¦ÓúÍÉú³¤£¬Îª¸ü¶àÆóÒµÌṩ¸ßЧ¡¢»·±£µÄ½â¾ö¼Æ»®£¬¹²´´ÓÅÃÀδÀ´£¡
ÊÖÒÕ×ÉѯÇëÁªÏµ£º17312239295£¬Í¯Ë¾Àí¡£